본문 바로가기

Study for Backend/Mathmatics Basic

[기초 수학] 점화식과 재귀함수

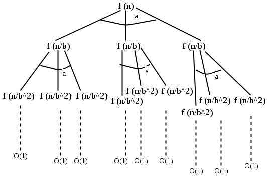
점화식 (Recurrence)

어떤 수열의 일반항을 그 이전의 항들을 이용하여 정의한 식

- 예시 ) 피보나치 수열

 

재귀 함수 (Recursion method)

어떤 함수가 자신을 다시 호출하여 작업을 수행하는 방식

 

 


// 기초 수학 - 점화식과 재귀함수


public class mathPractice07 {
    static int recursion1(int n){
        if (n == 1){
            return 1;
        }
        return 3 * recursion1(n - 1);
    }

    static int recursion2(int n){
        if (n == 1){
            return 1;
        }
        return n + recursion2(n - 1);
    }

    static int recursion3(int n){
        if (n < 3){
            return 1;
        }
        return recursion3(n - 2) + recursion3(n - 1);
    }

    public static void main(String[] args) {
        //Test Code
        //점화식 -> 반복문, 재귀함수
        System.out.println("=== 점화식 / 재귀함수 연습1 ===");

        //1, 3, 9, 27... 의 n번째 수
        int n = 4;
        int result = 1;

        for (int i = 0; i < n; i++) {
            if (i == 0){
                result = 1;
            }else {
                result *= 3;
            }
        }
        System.out.println(result);

        System.out.println("=== 점화식 / 재귀함수 연습2 ===");
        //1, 2, 3, 4, 5, 6 ... 의 n번째 까지의 합
        n = 5;
        result = 0;

        for (int i = 0; i < n + 1; i++) {
            result += i;
        }
        System.out.println(result);

        System.out.println("=== 점화식 / 재귀함수 연습3 ===");
        //1, 1, 2, 3, 5, 8, 13 ... 의 n번째 수. 피보나치 수열
        n = 6;
        result = 0;
        int a1 = 1;
        int a2 = 1;

        if (n < 3){
            result = 1;
        }else {
            for (int i = 2; i < n; i++) {
                result = a1 + a2;
                a1 = a2;
                a2 = result;
            }
        }
        System.out.println(result);

    }
}